xy_interaction_plot creates a point plot with confidence interval ranges using ggplot2. It combines the model estimates for the same predictor in two (sets of) QGAMs, i.e. it displays estimates of X and Y coordinates simultaneously in a combined plot. It makes use of mtqgam's better_parametric_plot and thus outputs the same information in your console.

xy_interaction_plot(
  qgam_x,
  qgam_y,
  quantile = NULL,
  pred,
  cond = NULL,
  print.summary = FALSE,
  order = NULL,
  ncol = 2,
  xlab = "X coordinates",
  ylab = "Y coordinates",
  scales = "free",
  size = 3,
  color = NULL,
  alpha = 1)

Arguments

qgam_x

The estimates plotted on the X axis. A qgam object created with qgam::qgam or extracted from a qgam::mqgam object, or a collection of qgams created with qgam::mqgam.

qgam_y

The estimates plotted on the Y axis. A qgam object created with qgam::qgam or extracted from a qgam::mqgam object, or a collection of qgams created with qgam::mqgam.

quantile

If qgam is a collection of qgam models, specify the quantile you are interested in. Not meaningful for single qgam objects.

pred

The predictor term to plot. Note: This is no longer identical to the pred argument specified for itsadug::plot_parametric.

cond

A named list of the values to use for the other predictor terms (not in view). Used for choosing between smooths that share the same view predictors.

print.summary

Logical: whether or not to print summary.

order

Specify the order with which the levels given in pred should be plotted.

ncol

The number of columns of the multi-panel plot.

xlab

The x-axis label.

ylab

The y-axis label.

scales

Should scales be free ("free", the default) or fixed ("fixed")?

size

Size argument for the ggplot object; specifies the size of points and lines.

color

Color argument for the ggplot object; specifies the color of points and lines.

alpha

Alpha argument for the ggplot object; specifies the transparency of points and lines.

Value

A ggplot object.

References

Fasiolo M., Goude Y., Nedellec R., & Wood S. N. (2017). Fast calibrated additive quantile regression. URL: https://arxiv.org/abs/1707.03307

van Rij J, Wieling M, Baayen R, & van Rijn H (2020). itsadug: Interpreting Time Series and Autocorrelated Data Using GAMMs. R package version 2.4.

Wickham, H. (2016). ggplot2: Elegant Graphics for Data Analysis. Springer-Verlag New York.

Author

D. Schmitz

Examples


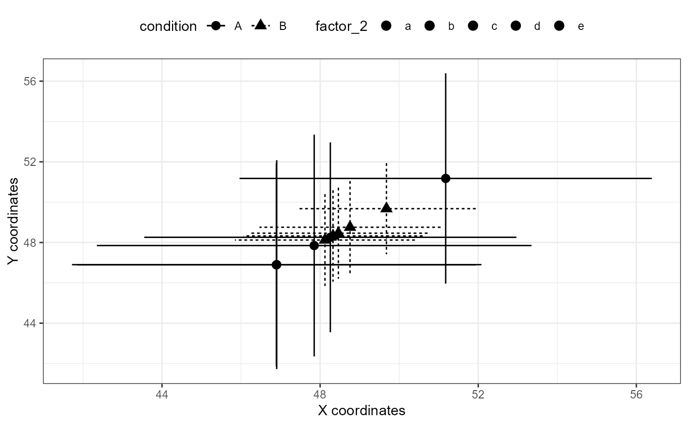
# using a single qgam extracted from an mqgam object OR fitted with qgam::qgam
xy_interaction_plot(qgam_x = mtqgam_qgam,
qgam_y = mtqgam_qgam,
pred = "factor_2",
cond = "factor_3")


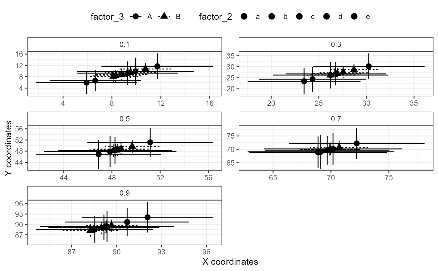
# using a qgam that is part of an mqgam object
xy_interaction_plot(qgam_x = mtqgam_mqgam,
qgam_y = mtqgam_mqgam,
pred = "factor_2",
cond = "factor_3")
#> ! Plotting all quantiles.


# specifying color
xy_interaction_plot(qgam_x = mtqgam_mqgam,
qgam_y = mtqgam_mqgam,
pred = "factor_2",
cond = "factor_3",
color = c("blue", "purple", "green", "yellow", "pink"))
#> ! Plotting all quantiles.


# combining better_interaction_plot with ggplot2
xy_interaction_plot(qgam_x = mtqgam_mqgam,
qgam_y = mtqgam_mqgam,
pred = "factor_2",
cond = "factor_3") +
theme_void() +
labs(subtitle = "This is a subtitle")
#> ! Plotting all quantiles.